🔍 확률 변수(random variable)
- 표본공간에서 각 사건에 실수를 대응시키는 함수를 확률 변수
- 확률 변수의 값은 하나의 사건에 대하여 하나의 값을 가지며, 실험의 결과에 의하여 변함
- 일반적으로 확률 변수는 대문자로 표현하며, 확률변수의 특정값을 소문자로 표현
- 확률변수는 X, Y등 대문자로 표현하며, 확률 변수의 특정값은 x, y등 소문자로 표현
1) 이산 확률 변수(discrete random variable)
: 셀 수 있는 값들로 구성되거나 일정 범위로 나타나는 경우
2) 연속 확률 변수(continuous random variable)
: 연속형 또는 무한대와 같이 셀 수 없는 경우
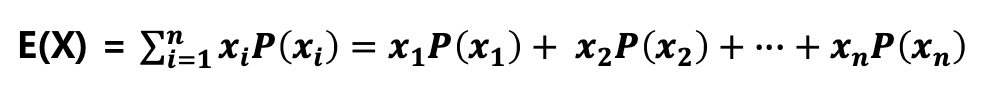
1. 확률 변수의 평균(기대값)

2. 확률 변수의 분산

3. 기대값의 성질(a,b가 상수, X, Y를 임의의 확률 변수)
(a) $ E(a)=a $
(b) $ E(aX) = aE(X) $
(c) $E(aX+b) = aE(X) + b$
(d) $E(aX$$\pm$$bY) = a$$E(X)$ $\pm$$bE(Y)$
(e) $X, Y$가 독립일 때, $E(XY) = E(X) E(Y)$
4. 분산의 성질(a,b가 상수, X, Y를 임의의 확률 변수)
(a) $ Var(a) = 0 $
(b) $ Var(aX) = a^{2}Var(X) $
(c) $ Var(X+Y) = Var(X) + Var(Y) + 2Cov(X,Y) $
(d) $Var(aX\pm bY)= a^{2}Var(X) \pm b^{2}Var(Y) + 2Cov(X,Y) $
(e) $X, Y$가 독립일 때 $Var(XY)=0$
(f) $Var(X) = E(X^{2}) - [E(X)]^{2}$
5. 공분산
- 2개의 확률변수의 선형 관계를 나타내는 값
- 하나의 값이 상승할 때 다른 값도 상승한다면, 양의 공분산
- 하나의 값이 상승할 때 하락한다면, 음의 공분산
$Cov(X, Y) = E[(X-E(X)](Y-E(Y)] = \frac{\sum_1^n(X_{i}-\overline{X})(Y_{i}-\overline{Y})}{n-1}$

'통계 & 수학 > 통계학' 카테고리의 다른 글
| [통계] 모집단과 표본 분포 (0) | 2022.05.18 |
|---|---|
| [통계] 확률분포 - 연속형 확률 분포 (0) | 2022.05.17 |
| [통계] 확률분포 - 이산형 확률분포 (0) | 2022.05.17 |
| [통계] 확률 (0) | 2022.05.17 |
| [통계] 데이터의 이해 (0) | 2022.05.17 |