🔍 가설 검정
- 가설 검정 = 가설(Hypothesis) + 검정(Testing)
1. 가설(hypothesis)
- 주어진 사실 또는 조사하려고 하는 사실에 대한 주장 또는 추측
- 통계학에서는 특히 모수를 추청 할 때, 모수가 어떠하다는 증명하고 싶은 추측이나 주장
1) 귀무 가설(Null hypothesis : $H_0$)
- 기존의 사실(아무것도 없다, 의미가 없다)
- 대립가설과 반대되는 가설로 연구하고자 하는 가설의 반대의 가설로 귀무 가설은 연구 목적이 아님
ex) $H_0$ : 코로나백신이효과가없다, $H_0 : \mu =0$
2) 대립 가설(Alternative hypothesis : $H_1$)
- 데이터로 부터 나온 주장하고 싶은 가설 또는 연구의 목적으로 귀무가설의 반대
ex) $H_1$코로나백신이효과가있다, $H_0 : \mu \neq 0$ $or$ $\mu \geq 0 $
3) 제1종 오류(type I error)
- 귀무가설이 참이지만, 귀무가설을 기각하는 오류
- $H_0$를 기각할 확률이 $alpha$라고 하면 채택하게 될 확률은 $1−\alpha$로 표시할 수 있음
- 제1종 오류를 범할 확률의 최대허용 한계를 유의수준이라고 하며, $\alpha$라고 표시
4) 제2종 오류(type II error)
- 귀무가설이 기각해야 하지만, 귀무가설을 채택하는 오류
5) 검정통계량
- 귀무가설이 참이라는 가정하에 얻은 통계량
- 검정결과 대립가설을 선택하게 되면 귀무가설을 기각(reject)함
- 검정결과 귀무가설을 선택하게 되면 귀무가설을 기각하지 못한다고 표현함
6) P-value
- 귀무가설이 참일 확률
- 0~1사이의 표준화된 지표(확률값)
- 귀무가설이 참이라는 가정하에 통계량이 귀무가설을 얼마나 지지 하는지를 나타낼 확률
7) 기각역(reject region)
- 귀무가설을 기각시키는 검정통계량의 관측값의 영역
2. 가설 검증 절차
- 가설수립 : $H_0$ 코로나 백신이 효과가 없다, $H_1$ : 코로나 백신이 효과가 있다
- 유의 수준 결정 : 유의 수준 $\alpha$ 정의
- 기각역 설정
- 검정통계량 계산
- 의사결정
1) 양측검정(two-side test)
- 대립가설의 내용이 같지 않다 또는 차이가 있다 등의 양쪽 방향의 주장
ex) A백신과 B백신의 코로나 면역력에는 차이가 있다
ex) A팀과 B팀의 평균 연봉은 차이가 있다
2) 단측검정(one-side test)
- 한쪽만 검증하는 방식으로 대립가설의 내용이 크다 또는 작다 처럼 한쪽 방향의 주장
ex) A제품의 수율이 B제품의 수율보다 크다
ex) A팀의 평균 연봉이 B팀의 평균 연봉보다 크다
📌 단일 표본에 대한 가설 검정
1. 모평균 가설검정 – 모분산을 아는 경우
1) 가설


2) 검정 통계량 관측값



2. 모평균 가설검정 – 모분산을 모르는 경우(소표본)
1) 가설


2) 검정 통계량 관측값


3. 모비율 가설검정
1) 가설


2) 검정 통계량 관측값

📌 두 개의 표본에 대한 가설 검정
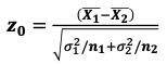
1. 대표본 – 모분산을 아는 경우
1) 가설


2) 검정 통계량 관측값


2. 소표본 – 모분산을 모르는 경우
1) 가설


2) 검정 통계량 관측값


3. 대응 비교
- 쌍으로 조사된 자료 $(X_1, Y_1),(X_2, Y_2),\cdot\cdot\cdot,(X_i, Y_i),$ 가 주어 졌을 때 $X_i$의 평균을 $\mu_x$, $Y_i$의 평균을 $\mu_y$ 라고 하면 $D_i = X_i-Y_i$으로 정의하고 가설은 아래와 같음
1) 가설

2) 검정 통계량 관측값


'통계 & 수학 > 통계학' 카테고리의 다른 글
| [통계] 상관분석 (0) | 2022.05.19 |
|---|---|
| [통계] 범주형 자료 분석 (0) | 2022.05.18 |
| [통계] 추정 (0) | 2022.05.18 |
| [통계] 모집단과 표본 분포 (0) | 2022.05.18 |
| [통계] 확률분포 - 연속형 확률 분포 (0) | 2022.05.17 |